12 X 12

Step By Step Math Wolfram Alpha Blog
Q Tbn 3aand9gcq7n2zh0iglbhq3hdacw95mc0ftjnulh3xjxnh7lhcc5iyvdlh5 Usqp Cau

Math Spoken Here Classes Quadratic Equations 3
12 X 12 のギャラリー

If X 2 5x 1 0 Then X 10 1 X 5 Has The Value Youtube
Www Hoodriver K12 Or Us Cms Lib06 Or Centricity Domain 230 6 final exam pt 2 answer key 16 17 ap Calculusab Practice Exam Pdf

2 With The Power X 1 2 X 1 3 Then Find The Value Of X Brainly In

Solved Determine The Infinite Limit Lim X Rightarrow 5 Chegg Com

1 Solve Log 27 X 2 3 2 Write In Logarithmic Form 49 1 2 7 3 Graph Y 2 3 X 1 X 27 2 3 X 2 Log 2 1 3 X Ppt Download

Circles

What Is The Binomial Expansion Of Math 1 X 2 Math Quora

Solved The Equation 2 Log X 1 Y 1 Can Be Written Chegg Com

1 Functions
X2 1 2 X2 0 Has Studyrankersonline

Why Is The Integral Of 1 X 2 Between The Limits 1 And 1 Equal To 2 Despite The Graph Of Y 1 X 2 Being Strictly Positive Quora

Solved 3 U X2 1 3x3 6x 5 4 4x2 2x 1 2 3 5x 5 Chegg Com
Find The Intervals In Which The Function F X X 1 3 X 2 2 Is Sarthaks Econnect Largest Online Education Community

Graph Equations System Of Equations With Step By Step Math Problem Solver

Ex 13 1 12 Class 11 Maths Find Limit X 2 1 X 1 2 X 2

Find The Intervals In Which F X X 1 3 X 2 2 Is Increasing Or Decreasing Youtube
If F X 1 X 2 3x 2 Then What Is The Value Of F X Quora

Ex 5 3 9 Chapter 5 Class 11 Cbse Solve X2 X 1 Root2

How Do You Solve X 1 2 Y 2 3 4 And X 2y 5 Socratic

Misc 9 Find X If X 5 1 1 0 2 0 2 1 2 0 3 Miscellaneous

Example 13 Find Integral 3x 2 X 1 2 X 3 Dx Examples
Integrate 2x 1 X 1 X 2 X 3 Dx Studyrankersonline
Is Y Sqrt X 2 1 A Function Quora

How Do You Verify Sin 2 X 1 2 1 Cos2x Socratic
Q Tbn 3aand9gct2jyftpjforl0jkgq1pi8ur4qi Cqqd7co9ktkmepypwux8iga Usqp Cau

Ex 7 5 9 Integrate 3x 5 X 3 X 2 X 1 Teachoo

Implicit Differentiation

Solve Inequalities With Step By Step Math Problem Solver

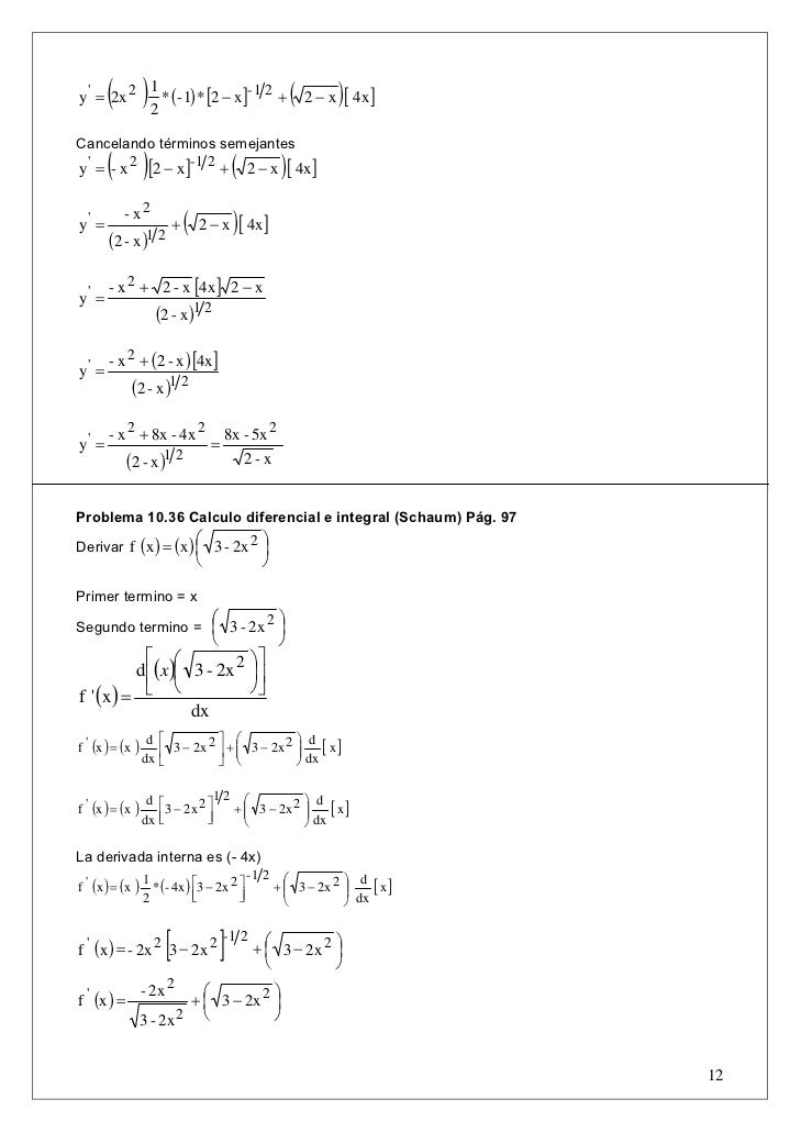
Derivadas Ejercicos 1

Integral Of X Sqrt 1 X 2 Substitution Youtube

Ex 5 5 2 Differentiate Root X 1 X 2 X 3 X 4 X 5

How To Solve The Following Equations 1 5 X 1 2 1 3 2 1 4 X 1 2 1 3 3 1 1 2 M 3 4 1 2 Socratic

Functions Algebra Mathematics A Level Revision

Multiply 2 1 2 X 3 3 4 Youtube
What Is The Value Of X 4 1 X 4 When X 1 X 2 Quora
How To Differentiate 1 X 1 X Quora

Graph Equations System Of Equations With Step By Step Math Problem Solver

Ex 7 5 11 Integrate 5x X 1 X 2 4 Ncert Maths

Solve For X 1 2a B 2x 1 2a 1 B 1 2x Mathematics Topperlearning Com 1m1ppkww

Ecuaciones 001

Differentiate Sin 1 2x 1 1 4x Wrt X Mathematics Topperlearning Com P8672lhh
Evaluate The Integral Of 1 X4 1 Stumbling Robot

The Values Of A For Which The Equation X 2 X 2 2 A 3

Woodgrain Millwork Wm 254 1 2 In X 3 4 In X 96 In Wood Pine S4s Moulding The Home Depot

Engineering Mathematics Notes

Integration Calculus Notes

Step By Step Math Wolfram Alpha Blog
Basel Problem Wikipedia

Ex 6 1 16 Solve 2x 1 3 3x 2 4 2 X 5

Solve The Quadratic Equation1 X 1 2 X 2 4 X 4 Brainly In
5 Derivative Of The Logarithmic Function
Solve The Following Quadratic Equations By Factorization 1 X 2 2 X 1 6 X X 0 Sarthaks Econnect Largest Online Education Community
Solve For X Sol 3x 7 2 7 4 X 1 5 2 3 2x 1 Studyrankersonline

Calculus Integral 2x 1 X 2 5x 4 Dx Partial Fractions Request Youtube

Rd Sharma Solutions For Class 10 Chapter 8 Quadratic Equations Exercise 8 6 Avail Pdf
Q Tbn 3aand9gcsjdrnx7bzqtlocyzksajkrzoljxhqicxqu10lfrwznup Pf Ff Usqp Cau

3 X 1 1 2 2 3x 1 Solve The Following Equation By Factorization Brainly In

Solve 1 X 1 X 2 1 X 2 X 3 2 3 Mathematics Topperlearning Com Filn2kyy

If X 1 2 What Is The Value Of X 4 4x 3 4x 2 Quora

Example 1 If X 1 Y 2 3 1 Find X And Y Class 11
Solved 2 X 1 5 X 3 2 2 X 3 5 X 1 2 X 3 X 1 2x Chegg Com
Www Hoodriver K12 Or Us Cms Lib06 Or Centricity Domain 230 6 final exam pt 2 answer key 16 17 ap Calculusab Practice Exam Pdf

How Can We Expand X Y 1 2 Youtube

X 1 2 Y 1 2 3 Derivadas Resolvidas 34 Youtube

Math Scene Equations Iii Lesson 2 Quadratic Equations

Derivada De Un Funcion F X X 2 X 1 Youtube

If X 3 2 2 Then Check Whether X 1 X Is Rational Or Irrational Cbse Class 9 Maths Learn Cbse Forum

For What Value Of X The Matrix A Is Singular A

4 1 Exponential Functions And Their Graphs

Solving A Quadratic Equation By Factoring A Plus Topper

Ex 6 1 7 Solve 3 X 1 2 X 3 Linear Inequalities

Graphing Parabolas
Solved Solve The Following Equations 5 X 3 1 2 X 2 Chegg Com

If Y X X2 1 1 2 M Then Show That X2 1 D2y Dx2 X Dy Dx M2y 0 Mathematics Topperlearning Com 6jd9kell

Characteristics Of Graphs Of Exponential Functions College Algebra

Find The Lcm And The Hcf Of The Polynomials X 2 1 X 2 X 2 And X 2 2x 1 X 2 2x 3 5 Ver Youtube

Integration Calculus Notes

Ex 5 5 2 Differentiate Root X 1 X 2 X 3 X 4 X 5

How Do You Integrate Int 2 1 X 1 X 2 Dx Using Partial Fractions Socratic

Maximum Value Of Function F X Frac X 4 X 2 X 6 2x 3 1 When X 1 Mathematics Stack Exchange

Graph Exponential Functions Using Transformations College Algebra

Solved Find The Derivative D Dx Arctan X 2 1 Arcsec Chegg Com

How To Draw Y 2 X 2

Free Math Answers Answers Within 24 Hours Step By Step Explanations
Factorise X4 X2 1 Polynomials Maths Class 9

How Do You Solve The Following System Using Substitution 1 X 1 Y 3 4 3 X 1 Y 1 4 Socratic
Binomial Approximation Wikipedia
Q Tbn 3aand9gctizafenoqlmzmdwj0uemhbjt I3rqjh8tzt7d9i6tjgbjjzw4j Usqp Cau

Pattern Number Of Integer Solutions To X 1 X 2 X 3 X N N Fun With Num3ers

Ex 5 3 2 Solve 2x2 X 1 0 Chapter 5 Class 11 Ex 5 3

How Do You Simplify X 1 Y 1 X 2 Y 2 Socratic

X 1 2 Y 1 3 8 X 1 3 Y 1 2 9 Simultaneous Linear Equation Brainly In

Solved 4 Find The Limit Of Each Function 2x 1 A Lim X 1 Chegg Com

Derivadas Ejercicos 1

Find P 0 P 1 P 2 For The Polynomial P X X 1 X 2 Brainly In

How To Integrate 1 X 2 1 2 Quora
What Is The Derivative Of Y X 1 2 Quora

Notes On A Level P3 Integration Notes

Example 16 Find Integral X2 X 1 Dx X 2 X2 1

The Derivative Of X 1 2
If X 1 X 5 Then Is X 2 1 X 2 Equal To Quora